Natalya Trubnikova Naked (101 photos)
Natalia Andreichenko Nyu
Actress Natalya Varley Nudinka
Natalya Berezhnaya Dau Natasha

Natalia Starr Pornography Anal
Unsuccessful swimwear

Natalia Lesnikovskaya nude

Natalia Zibrova Naked photo

Charmane Star shows the crotch
Natalia Lesnikovskaya nude
Natasha Peyiro naked photo
Natalia Forrest shows a XXX ass
Natalia Krasavina Nata Lee 007 nude
Natalia Stefanenko Naked
Anna Trubnikova Alice Sunny Anal
Naked Emmanuel Sylvia Cristel 1974

Natalya Trubnikova Naked (101 photos)
Eva Smolina (Eva Smolina) xxx
Natalia Safronova Naked
Natalia Volkova Porn actress
Natalia Krasavina NATA LEE NATALEE.007 NATALEEE007
Natalia Zemtsova naked fakes
Porn photo 17-18 year old actresses

Olga Tikhomirova model naked
Irina Bezrukova actress nude

Natalya Nemchinova Delilah ... Porn
Natalia Prokhorova Naked
Anastasia Braun Anastasia Brown Pussy
Natalia Nastrova Naked
Natasha Tikhomirova
Natalia Poklonskaya Naked

Natalia Panteleeva Naked
Natalia Koloskova naked

Intimate correspondence
Natasha Tikhomirova

Claire Denkins Pornovideo
Daryl Hannah in the youth Nude
Oksana Balyko Korenovsk
Natalya Fateeva Naked
Porn actress Anna Pip
Natalia Krasavina Nata Lee Natalee007
Natalia Oreiro Erotic photo shoot
Natasha Tikhomirova do not
Natalia Trubnikova actress Nude
Rodnik Film 1990 Natalia Surkova Naked

Natalia Rudakova actress naked
Natalia Trubnikova photo naked
Natalie Portman Pornstar
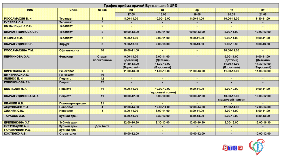
Schedule of doctors of the central clinic
Naked pornstar Natasha
Natalia Moseichuk Naked
Natalia Andreichenko Naked

Natalia Maslennikova Naked

Isabelle Adjani is erotic
Natalia Safran naked photo
Natalia Kosteneva Naked
Anna Trubnikova Porn actress
Natalia Tereshkova Naked

Natalia Bochkareva Pornstar
Natalia Terekhova actress naked
Natasha Tikhomirova Onlifans
Natalya Andreeva Danika Nude
Natalya Nemchinova Andreeva Delilah
The schedule of the doctors

Natalia Berezhnaya Dau
Anna Trubnikova Alice Nude
Juliana Grandi (Juliana Grandi)
Natalia Selezneva and Natalya Varley
Natalia Krasavina Nata Lee Natalee007 Sex

Natalia Polyakova Tits
Naked Alice Rybkina Naked
Porn Model Masha Leonova

Victoria Panasyuk Sochi VK
Natalia Emelianenko Naked
Natalia Yunnikova photo naked
Plum of telegrams
Lauren Holly (Lauren Holly) Naked

Porn actress Natasha Starr
Natalia Zemtsova photo naked

Ruslan Lobanov photographer Nude

Vetlitskaya Natalia Pornography
Pornstar Valentina Velasques
Jacqueline Kennedy-Onassis is naked
Pornstar Natasha Koroleva
Mega.nz drain
Natalia Rassadnikova Naked
Natalia Buzko - Pornstar?

Sotnikova Irina Actress Nude
Natalya Palagushkina Naked
Natalya Maltseva Pornstar

Natalia Zemtsova photo naked

Anna Bobkina Alexander

Natasha Stefanenko Naked
Natalia Krasavina Nata Lee Nude
Natalya Andreeva Danika
Natasha Nys between Tits
Natalia Lesnikovskaya Nude
Nefedova Natalia Nude Model
Singer Natalie Pornography
Tatyana Chepikova actress
Naked Anya Trubnikova Alisa
Similar photos
↑